An important scientific concept is defined as the Attention Width.
The layman might speak of his teenager’s attention span of a few minutes. Span is length. Attention Rate is defined as a motion, a first derivative, a flow of information.
Limits to Attention Rate
Highways have rate limits, and we should understand our limits. As I write this, the average adult has a maximum attention comprehension rate of 300 words per minute.
The average reading rate is 300 words per minute.
Human conversation is about 150 words per minute.
The best typists can type a bit more than 250 words per minute.
The best Morse Code operators can send and receive about 150 words per minute.
Relating Human processing to Machine Processing.
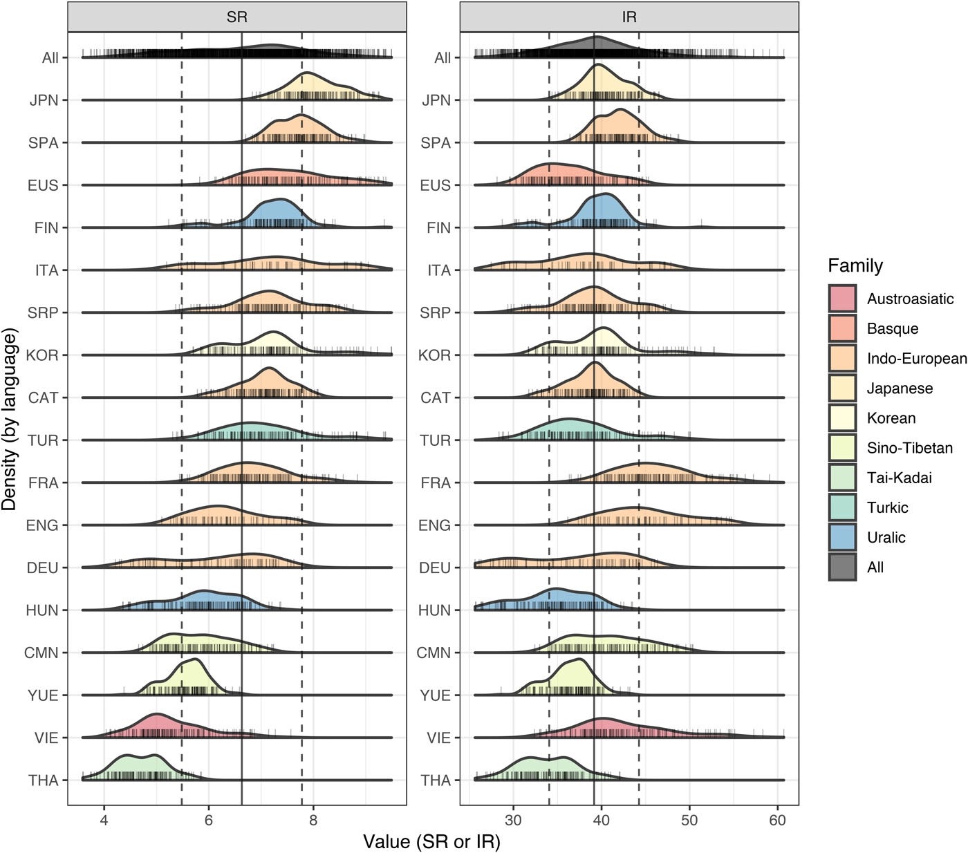
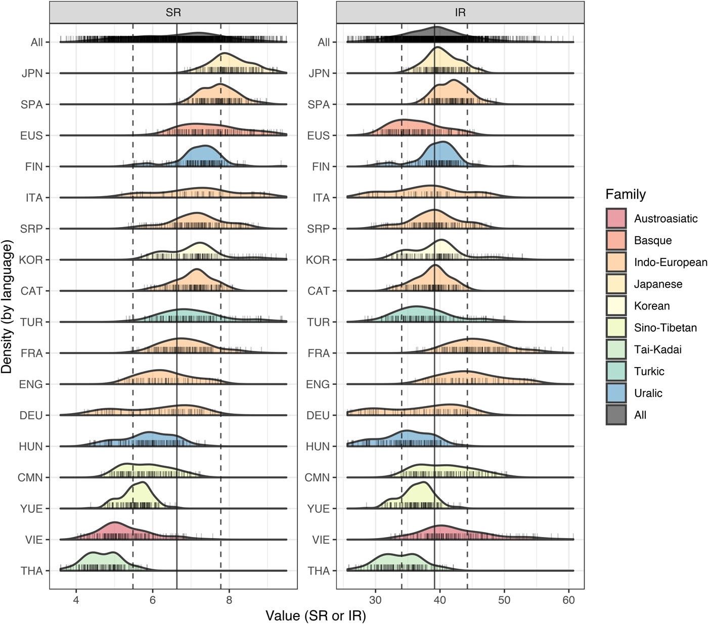
The Language Information Rate versus Symbol Rate in Human Speech.1 The graph shows the relation between the symbol rate, and the information rate in various languages. Both are relevant to measuring communications.
How to read this graph. In spoken language, the Japanese have the highest symbol rate, but the Japanese information ratio is average.
References
Don’t Make Me Think Steve Krug
https://www.guinnessworldrecords.com/world-records/fastest-morse-code-sent-and-received
https://www.typing.com/blog/typing-speed/
https://www.britannica.com/science/information-theory/Physiology
https://www.science.org/doi/10.1126/sciadv.aaw2594